지난해 3월 경북 지역을 휩쓴 대규모 산불은 단순한 산림 소실을 넘어 해당 지역에 심각한 대기오염을 초래했고, 주민 건강에도 해로운 결과를 낳았을 것으로 추정된다는 연구 결과가 제시됐다.
산불은 이는 국내외 여러 연구가 증명하듯 호흡기 질환부터 심혈관 질환, 나아가 사망 위험까지 높이는 중대한 보건 위기이기도 했다. 이에 따라 산불 발생 시 대기오염으로부터 주민, 특히 농촌 지역 고령자 등 취약계층을 보호하기 위한 정교한 대응 체계 마련이 시급한 것으로 지적됐다.
◇기록적인 미세먼지 농도와 광역적 오염
먼저 일본 후쿠오카여자대학교 환경과학과 마창진 교수와 원광보건대학교 보건의료행정과 강공언 교수가 지난해 여름 '한국대기환경학회지'에 발표한 논문에 따르면, 당시 산불은 과거 최대 피해였던 2000년 동해안 산불을 뛰어넘는 4만8239ha의 산림을 태웠다.
이 과정에서 막대한 양의 대기오염물질이 배출되었는데, 산불 기간 중 안동시의 초미세먼지(PM2.5) 평균 농도는 ㎥당 119.05㎍(마이크로그램, 1㎍=100만분의 1g)에 달해 국가 대기환경 기준치인 35㎍/㎥의 3배를 초과한 것으로 나타났다.
특히, 산불의 영향은 발생 지역에만 머물지 않고 수백 ㎞ 떨어진 곳까지 미쳤다. 연구팀은 산불 지역에서 멀리 떨어진 충남 서산에서도 미세먼지(PM10) 속의 원소 농도가 평상시보다 88.77%나 증가했으며, 인체에 해로운 중금속인 납(Pb) 농도 역시 14.05% 상승했음을 확인했다.
산불 연기는 서풍을 타고 동해를 건너 일본 이시카와현과 시마네현의 초미세먼지 농도까지 각각 20.83%와 5.75% 상승시킨 것으로 관측됐다.
◇농촌 지역과 고령 농업인에게 더욱 치명적
산불로 인한 대기오염은 농촌 지역에 더 깊은 상흔을 남겼다. 지난해 3월 경북 산불 발생 기간에 전국 8개 농업 지역의 대기질을 분석한 결과, 산불 기간 중 미세먼지(PM10)와 초미세먼지(평균 PM2.5) 농도가 평상시보다 각각 47.3%와 24.9% 증가한 것으로 나타났다. 서울과학기술대학교 안전공학과 김기연 교수와 국립농업과학원 기후변화평가과 김진호 박사가 최근 국제 학술지 '화재(Fire, MDPI)'에 발표한 논문 내용이다.
연구팀은 특히 한국 농촌 특유의 분지 지형과 새벽 시간대의 높은 습도가 미세먼지 농도를 더욱 악화시킨다는 점을 지적했다. 초미세먼지는 상대습도와 강한 양의 상관관계를 보였는데, 이는 대기가 정체된 상태에서 미세먼지가 수분을 흡수해 입자가 커지거나 2차 생성을 통해 농도(㎥당 질량)가 높아지기 때문이다.
연구팀은 고령층 비중이 높은 농촌에서 농업인들이 연기가 눈에 보이지 않더라도 대기 정체가 심한 새벽 시간에 야외 작업을 할 경우 고농도의 유해 물질에 그대로 노출될 위험이 크다고 경고했다.
◇해외 연구: 산불 연기의 치명적인 건강 영향
산불로 인한 대기 오염이 사람의 건강에 얼마나 악영향을 미치는지는 미국과 캐나다의 사례를 통해 더욱 명확히 알 수 있다.
미국 스탠퍼드대학교 기계공학과 연구팀이 지난해 12월 '환경 과학 기술 회보(Environmental Science & Technology Letters)'에 발표한 연구에 따르면, 2025년 1월 미국 로스앤젤레스(LA)에서 발생한 산불 당시 연기 노출로 인한 초과 사망자가 14명으로 추산됐다. 이는 화재로 인한 직접적인 사망자 수(30명)의 약 47%에 해당하는 수치로, 산불 연기가 직접적인 불길만큼이나 치명적일 수 있음을 보여준다.
또한 미국 환경보호청(EPA)의 하발라 파이 박사팀이 지난달 같은 저널에 발표한 논문에 따르면, 2023년 캐나다 산불 당시 연기가 캐나다와 미국 전역에 퍼져 약 500건의 추가 암 발생 사례를 초래할 정도로 발암 위험을 높인 것으로 추정됐다. 캐나다 내에서만 미세먼지와 오존 노출로 인해 약 7800명의 조기 사망자가 발생한 것으로 추정됐다.
미국 아이칸 의과대학 연구팀은 최근 '사이언스 어드밴시스(Science Advances)'에 발표한 논문에서 산불 미세먼지가 미국 내에서 연간 약 2만4100명의 사망 원인이 되고 있다고 밝혔다. 이 연구는 산불 미세먼지가 신경계 질환 사망률에 가장 큰 영향을 미치며, 순환계 질환과 암 사망률도 높인다는 강력한 증거를 제시했다.
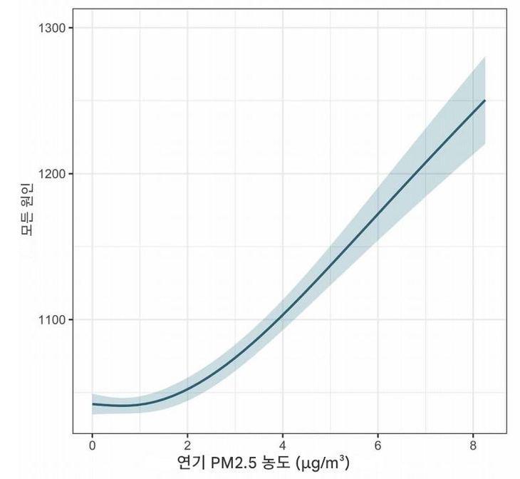
심혈관계 질환과의 연관성도 심각하다. 미국 에모리 대학교 환경보건학과 연구팀이 지난달 '유럽 심장 저널(European Heart Journal)'에 게재한 논문에 따르면, 미국 65세 이상 노인 약 2500만 명을 대상으로 10년 이상 추적 조사한 결과, 산불 미세먼지에 장기간 노출될수록 뇌졸중 발생 위험이 유의미하게 높아졌다. 특히 산불 미세먼지 농도가 1㎍/㎥ 증가할 때마다 뇌졸중 위험이 1.3%씩 상승하는 것으로 나타나, 일반적인 미세먼지보다 산불에서 유래한 먼지의 독성이 더 강할 수 있음을 시사했다.
◇“피해 예방을 위해 1년에 한번 대피 훈련 필요"
대기오염으로 인한 건강 문제나 산불로 인한 직접적인 인명 피해를 예방하기 위해서는 지금보다 세밀한 대책이 필요하다는 의견도 많다.
지난 10일 국회 의원회관에서 열린 '산불을 둘러싼 구조적 쟁점 2차 포럼'에서 토론자로 나선 이다솜 녹색연합 자연생태팀장은 “국가 차원의 산불 대피 체계를 마련하고, 시장·군수 주관으로 각 읍면 단위로 연 1회 이상 실제 대피 훈련을 실시해야 한다"고 지적했다.
기상청과 산림청, 지자체 등의 자동기상 관측망(AWS)을 통합 운용해 국민들이 산불로부터 생명을 지킬 수 있도록 해야 한다고 덧붙였다.
이강오 경북대 초빙연구교수(충북산림포럼 이사장)는 “산불 예방 관리를 공공 기후서비스로 체계화할 필요가 있다"고 강조했다. 산불 예방을 기후 대응·적응 사업 차원에서 접근해야 한다는 의미다. 이 교수는 “읍면이나 마을 단위로 '마을숲관리단'을 조직해 감시 순찰과 초기 대응, 교육홍보 업무를 맡겨야 한다"고 덧붙였다.










